涉及17个小区,共397套房源!济宁主城区最新公租房房源发布
商讯
关注
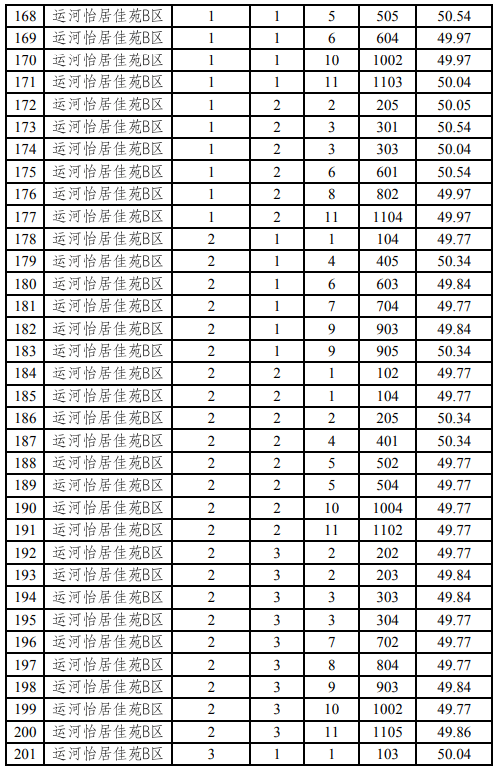
近日,济宁市住房保障和房地产发展事务中心发布济宁市主城区公共租赁住房选房告知书及2026年3月25日批次公租房选房房源。涉及济宁市主城区17个小区397套房源,详情如下。
近日,济宁市住房保障和房地产发展事务中心发布济宁市主城区公共租赁住房选房告知书及2026年3月25日批次公租房选房房源。涉及济宁市主城区17个小区397套房源,详情如下。